Boa Noite!!!
Mais uma semana começou e claro um novo Carboidrato está chegando!!
Esta semana iremos falar sobre Lactose! Um carboidrato que assim como todos os outros, é muito importante para o nosso conhecimento.
Hoje mostraremos para vocês um pouco sobre a Estrutura da Lactose. Confira!!!
LACTOSE

Sua estrutura molecular é C12H22O11.
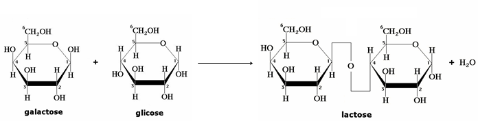
É formada por uma molécula de glicose e outra de galactose.
![]() |
| Formação da lactose. |
É hidrolisada pela ação da enzima lactase formando galactose e glicose como é mostrado na figura abaixo.
![]() |
| Hidrolise da Lactose |
A figura abaixo mostra a estrutura 3D da molécula lactose.
![]() |
| Lactose em 3D |
Obrigada!!
Continue acompanhando o nosso blog!!
Bons Estudos!!
Por: Nayse Lima



Nenhum comentário:
Postar um comentário